Contents: (Click to go to that topic)
The integral, along with the derivative, are the two fundamental building blocks of calculus. Put simply, an integral is an area under a curve; This area can be one of two types: definite or indefinite. Definite integrals give a result (a number that represents the area) as opposed to indefinite integrals, which are represented by formulas. Indefinite Integrals (also called antiderivatives) do not have limits/bounds of integration, while definite integrals do have bounds. Watch the video for a quick introduction on to definite integrals, or read on below for more definitions, how-to articles and videos.
Integrals: Definitions
- Additive Interval Property
- Divergent Integrals
- Double Integrals
- Elliptic Integrals
- Isotropic / Anisotropic Definition, Examples
- Fundamental Theorem of Calculus
- Fresnel Integrals
- Fubini’s Theorem
- Gauge Integral
- Improper Integrals
- Integral Bounds / Limits of Integration
- Integral Function
- Integral Kernel
- Integral Operator
- Iterated Integrals
- Lebesgue Integration
- Line Integral
- Mean Value Theorem for Integrals
- Multiple Integrals: Definition, Examples
- Numerical Quadrature (Numerical Integration)
- Order of Integration
- Ordinary Integral
- Product Integral
- Quadruple Integral: Definition, Uses of
- Riemann Integral
- Singular Integral: Simple Definition
- Sum Rule
- Stratonovich Integral: Definition
- Triple Integral (Volume Integral)
General How-To Integrals
- Area Between Curve and Y-Axis
- Area Function.
- Indefinite Integrals of power functions
- Constant Rule of Integration
- Finding definite integrals
- Integration Using Long Division: Definition, Examples
- Integration by parts
- Integration by Separation
- Log Rule for Integration
- Integral of a Natural Log
- Integrate with U Substitution
- How to Integrate Y With Respect to X
- Method of Partial Fractions
- Rationalizing Substitutions
- Tabular Integration (The Tabular Method)
- Trig Substitution
Integral Calculus Advanced Problem Solving
- Find Total Distance Traveled (opens in new window)
- How to find the volume of an egg(opens in new window)
- How to prove the volume of a cone(opens in new window)
- How to find the area between two curves
Elliptic Integrals
An elliptic integral is an integral with the form
Here R is a rational function of its two arguments, w, and x, and these two arguments are related to each other by these conditions:
- w2 is a cubic function or quartic function in x, i.e. w2= f(x) = a0 x4 + a1 x3 + a2 x2 + a3 x + a4
- R(w,x) has at least one odd power of w
- w2 has no repeated roots
In a way, these integrals are generalizations of inverse trigonometric functions. They provide solutions to a wider class of problems than inverse trigonometric functions do; simple problems like calculating the position of a pendulum as well as more complicated problems in electromagnetism and gravitation.
Reducing Elliptic Integrals
As a rule, elliptic integrals can’t be written in terms of elementary functions. There are some special integrals, though: the Legendre elliptic integrals or the canonical elliptic integrals of the first, second and third kinds. Every elliptic integral can be written as a sum of elementary functions and linear combinations of these.
History
These get their name because they were first studied by mathematicians looking to calculate the arc length of an ellipse. The first recorded study of this problem was in 1655 by John Wallis and shortly after by Isaac Newton, who both published an infinite series expansion that gave the arc length of an ellipse. Later, French mathematician Adrien Marie Legendre (who lived between 1752 and 1833) spent nearly forty years researching elliptic integrals, and he was the first to classify elliptic integrals and find ways of defining them in terms of simpler functions.
References
Elliptic Integrals, Elliptic Functions, and Theta Functions. Retrieved from http://www.mhtlab.uwaterloo.ca/courses/me755/web_chap3.pdf on April 22, 2019
Carlson, B. C. NIST Digital Library of Mathematical Functions. Chapter 19: Elliptic Integrals. Release 1.0.22 of 2019-03-15. F. W. J. Olver, A. B. Olde Daalhuis, D. W. Lozier, B. I. Schneider, R. F. Boisvert, C. W. Clark, B. R. Miller, and B. V. Saunders, eds. Retrieved from https://dlmf.nist.gov/19 on April 22, 2019.
Hall, L. (1995). Special Functions. Retrieved May 15, 2019 from: http://web.mst.edu/~lmhall/SPFNS/sfch3.pdf
Integral Kernel
An integral kernel is a given (known) function of two variables that appears in an integral equation; This unknown function appears with an integral symbol.
The kernel is symmetric if If K(x, y) = K(y, x).
Notation for the Integral Kernel
The kernel is denoted by K(x, y):
As well as K(x, y), you might also see slightly different notation depending on what variables are used in the equation. For example:
- A(x, y),
- Ta(x, y), or
- K(x, x′).
What notation is used sometimes depends on exactly what the kernel is representing. Some specific representations include (Wolf, 2013):
- A translation operation 𝕋a: Ta(x, y),
- Inversions: I0(x, y),
- The operator of differentiation: ∇(x, y).
Avramidi (2015) describes an integral operator on the Hilbert space L2 ([a, b]) as follows:
Where the function K(x, x′) is the integral kernel. Note that the author also uses “K” on the left hand side of the equation to denote the operator, a distinction that “…shouldn’t cause any confusion because the meaning of the symbol is usually clear from the context”.
Integral Kernel, or Symbol?
Although the term “integral kernel” is widely used, many authors prefer the alternate term symbol instead, to avoid confusion with many other meanings for the word kernel in mathematics. For example, in geometry, a kernel is the set of points inside a polygon from where the entire boundary of the polygon is visible; In statistics, a kernel is a weighting function used to estimate probability density functions for random variables in kernel density estimation.
Integral Kernel: References
Avramidi, I. (2015). Heat Kernel Method and its Applications 1st ed. Birkhäuser
Paulsen, V. & Raghupathi, M. (2016). An Introduction to the Theory of Reproducing Kernel Hilbert Spaces.
Wolf, K. (2013). Integral Transforms in Science and Engineering. Springer Science & Business Media.
Integral Operator
Generally speaking, an integral operator is an operator that results in integration or finding the area under a curve. It is defined by the integral symbol: ∫.
It’s counterpart in calculus is the differential operator (d/dx), which results in differentiation.
The integral operator is sometimes called a standard integral operator [1] to separate it from special cases used in complex analysis, operator theory and other areas of mathematical analysis.
The term integral operator is also used as a synonym for an integral transform, which is defined via an integral and maps one function to another.
Special Cases of Integral Operator
The first operators appeared at the beginning of the 20th century, at the beginning of the theory of complex-variable functions. Many operators have been developed over the years and are defined very narrowly for special circumstances. They include:
- Alexander integral operator: Defined for a class of analytic functions on the unit disk D [2]:
. - Fredholm operator: Arises in the Fredholm equation, an integral equation where the term containing the kernel function has constants as limits of integration.
- The Volterra integral equation is similar to the Fredholm equation, except that it has variable integral limits.
- A variety of pseudo-differential operators are used to study elliptic differential equations. These operators, as well as Fourier integral operators, make it possible to handle differential operators with variable coefficients in about the same way as differential operators with constant coefficients using Fourier transforms [3].
Integral Operator: References
[1] Anderson, A. SOME CLOSED RANGE INTEGRAL OPERATORS ON SPACES
OF ANALYTIC FUNCTIONS. Retrieved April 23, 2021 from: http://www2.hawaii.edu/~austina/documents/research/aatgpaper2.5.1.pdf
[2] Gao, C. (1992). On the Starlikeness of the Alexander Integral Operator. Proc. Japan Acad. 68. Ser. A.
[3] Hormander, L. Fourier Integral Operators, I. Retrieved April 23, 2021 from: https://projecteuclid.org/journalArticle/Download?urlid=10.1007%2FBF02392052
How to find the area between two curves in integral calculus
Finding the area between two curves in integral calculus is a simple task if you are familiar with the rules of integration (see indefinite integral rules). The easiest way to solve this problem is to find the area under each curve by integration and then subtract one area from the other to find the difference between them. You may be presented with two main problem types. The first is when the limits of integration are given, and the second is where the limits of integration are not given.
Area Between Two Curves: Limits of Integration Given
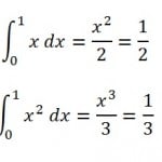
Example problem 1: Find the area between the curves y = x and y = x2 between x = 0 and x = 1.
Step 1: Find the definite integral for each equation over the range x = 0 and x = 1, using the usual integration rules to integrate each term. (see: calculating definite integrals).
Step 2: Subtract the difference between the areas under the curves. You’ll need to visualize the curves (sketch or graph the curves if you need to); you’ll want to subtract the bottom curve from the top one. The curve on top here is f(x) = x, so:
1⁄2 – 1⁄3 = 1⁄6.
Limits of Integration NOT Given
Example problem: Find the area between the curves y = x and y = x2.
Step 1: Graph the equations. In most cases, the limits of integration will be clear, especially if you’re using a TI-calculator with an Intersection feature (just find the intersections of the two graphs). If you can find the intersection by graphing, skip to Step 3.
Step 2: Find the common solutions of these two equations if you cannot find the intersection by graphing (treat them as simultaneous equations).
Substituting y = x for x in y = x2 gives an equation y = y2, which has only two solutions, 0 and 1.
Putting the values back into y = x to give the corresponding values of x: x = 0 when y = 0, and x = 1 when y = 1. The two points of intersection are (0,0) and (1,1).
Step 3: Complete the steps in Example Problem 1 (limits of integration given) to complete the calculation.
Back to top
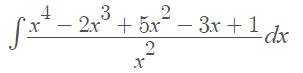
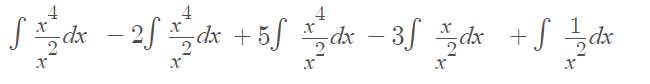
Integration by Separation
Integration by separation takes a complicated-looking fraction and breaks it down into smaller parts that are easier to integrate.
For example, the following fraction is challenging (impossible?) to integrate using the usual rules of integration:
However, you can rewrite it as a series of fractions, using algebra:
Simplifying, this becomes:
These fractions can be individually integrated, using the power rule and the common integral ∫1⁄xdx = ln |x|:
Trig Substitution
Trig substitution helps you to integrate some types of challenging functions:
- Radicals of polynomial functions, like √(4 – x2),
- Rational powers of the form n/2, e.g. (x2 + 1)(3/2).
Although trig substitution is fairly straightforward, you should use it when more common integration methods (like u substitution) have failed.
The technique is very similar to u substitution: you substitute a new term (one made from integer powers of trig functions) in place of the one you have, in order to make the integration easier. At the end, you simply substitute the original function back in.
Why Is Trig Substitution a Last Resort?
Although it’s straightforward, trig substitution requires you to have a lot of background knowledge. Unlike a table of integrals, you can’t just look up an integral for a particular expression. It’s a must that you are able to recognize the trigonometric identities. Let’s look at an example to see why this is so important.
Example question: Integrate
To solve this, you need to consider all of the trig identities to see which would be a good fit. If you aren’t familiar with them, this could be a stumbling block before you’ve even started. In order to solve this particular integral, you need to recognize that it looks very similar to the trig identity
1 + tan2 x = sec2 x.
Here are the solution steps:
Step 1: : Rewrite the expression using a trig substitution (and derivative). The goal here is to get the expression into something you can simplify with a substitution:
Here, I substituted in tan2θ for x.
As the substitution for x has been made, I also had to change the “dx” to represent the derivative of tan2θ (instead of plain old derivative of “x”). So the new “dx” became sec2 θ dθ.
Step 2: : Simplify by using a trig identity. In this example, we’ve been heading towards changing 1 + tan2 x to sec2 x. There’s no magic here—if you chose the correct trig function in Step 1, you should already know which trig identity you’re going to use here:
Step 3: : Simplify using algebra (if possible). For this example, notice that we can cancel out the sec2 in the numerator and denominator,
leaving just
∫ 1 dθ.
Step 4: Integrate. The integral of a constant function is just the constant * x (or constant * θ) + C, so:
∫ 1 dθ = θ + C
Step 5: Substitute your original term back in. In Step 1, I substituted tan-1 θ for x, so putting that back in gives the solution:
= tan -1 x + C
Useful Background Information
As you may be able to tell from the above example, trig substitution requires you to have some strong background skills in algebra, derivatives, and trigonometric identities.
“…any teacher of Calculus will tell you that the reason that students are not successful in Calculus is not because of the Calculus, it’s because their algebra and trigonometry skills are weak” ~ Jones (2010)
Also extremely helpful:
- Integrals of Trig Functions,
- U Substitution for Trigonometric Functions,
The following table shows how to express one of the common six trig functions as a pair of other trig functions. These may also come in handy:
Trig Substitution: References
Banner, A. (2007). The Calculus Lifesaver: All the Tools You Need to Excel at Calculus (Princeton Lifesaver Study Guides) Illustrated Edition. Princeton University Press.
Jones, J. (2010). Skills Needed for Success in Calculus 1.
Kouba, D. (2017). Finding Integrals Using the Method of Trigonometric Substitution. Retrieved November 9, 2020 from: https://www.math.ucdavis.edu/~kouba/CalcTwoDIRECTORY/trigsubdirectory/TrigSub.html
Related Articles
Change of Variable.
Contour Integral: Simple Definition, Examples
Other References
Stephanie Glen. "Integrals / Integral Calculus" From CalculusHowTo.com: Calculus for the rest of us! /integrals/
Need help with a homework or test question? With Chegg Study, you can get step-by-step solutions to your questions from an expert in the field. Your first 30 minutes with a Chegg tutor is free!












