Contents:
1. Derivative of a Constant
Watch the video or read on below:
Can’t see the video? Click here.
While most of the rules require you to complete several steps, taking the derivative of a constant only requires you to perform one step:
Change the constant to a 0, because the derivative or slope of any constant function is equal to zero.
In other words, if f(x) = c, then f'(x) = 0.
As a formula, that’s:
The rule is sometimes called the constant rule.
The “rule” is really a shortcut; using it allows you to bypass having to take the limit to find the derivative of any constant function.
Examples

The derivative of y = 5 is zero.
Derivative of a Constant:
- If f(x) = 5, then f&prime(x) = 0,
- If f(x) = -2, then f′(x) = 0,
- If f(x) = 10000000, then f′(x) = 0,
- If f(x) = 55 1/3, then f′(x) = 0,
- If f(x) = √9, then f′(x) = 0,

The derivative of y = -2 is 0.
That’s it!
Tip: You can use direct substitution to arrive at the same answer (i.e. that the derivative is zero).
Note About Similar Functions
The rule that the derivative of a constant only applies if you take the derivative of a constant (aka a polynomial function of zeroth degree), and not constants that also have exponents, constants multiplied by x, or anything other than a number. While √9 is a constant, √9x is not. If in doubt, graph your function. If the result is a horizontal line, then your function is a constant.
2. Constant Factor Rule
Rule for finding derivatives of functions with a constant factor “c”.
The constant factor rule is a way to find the derivative for a function that has a constant factor. You’re probably more used to constant factors being called “coefficients.” so the rule could just as well be called the coefficient rule.
What is a Constant Factor?
A Constant factor (also called a numerical coefficient or just coefficient) is just a number (a constant) that appears in front of a function. It’s just a value that doesn’t depend on x (or any other inputs).
Constant factors are quite common with trigonometric functions and polynomial functions. For example:
- f(x) = 3 sin x has a constant factor of 3,
- f(x) = -6x2 has a constant factor of -6.
How to Use the Constant Factor Rule
Essentially, you just ignore the constant factor: pull it out in front and forget about it. You only need to find the derivative of the portion that’s not a constant.
Example, find the first derivative of f(x) = 3 sin(x)
- Write the derivative notation: f′ = 3 sinx(x)
- Pull the constant out in front: 3 f′ = sinx(x)
- Find the derivative of the function (ignoring the constant):
3 f′ = cos(x) - Place the constant back in to where it was in the first place:
= 3 cos(x)
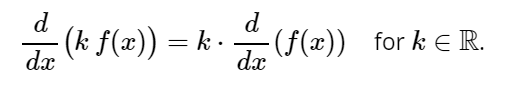
Formal Definition of the Constant Factor Rule
The formal definition of the rule is as follows (Simonds & Jordan, 2020):
Where:
- k = a constant,
- ℝ = the set of real numbers.
3. Constant multiplied by a power function
The derivative of a constant is always zero and the derivative of a function depends upon what kind of function it is (for example, you can differentiate exponents with the power rule). Intuitively, you might think that a constant multiplied by a function is zero, because the derivative of a constant is zero (0 * anything = 0). However, differentiation in calculus isn’t always intuitive; the derivative of a constant multiplied by a power rule function is actually equal to the constant times the derivative of the function.
Example Question 1: What is the derivative of 5x3?
Step 1: Separate the constant from the function.
5
x3
Step 2: Differentiate the function using the rules of differentiation. The function x3 is an exponent and so is differentiated using the power rule:
d/dx [x3] = 3x3 – 1 = 3x2
Step 3: Place the constant back in front of the derivative of the function from Step 2:
5(3x2)
Step 4: Use algebra to multiply through:
5(3x2) = 15x2
Example Question 2: What is the derivative of -7x-4?
Step 1: Separate the constant from the function.
-7
x-4
Step 2: Differentiate the function using the rules of differentiation. The function x-4 is an exponent and so is differentiated using the power rule:
d/dx [x-4] = -4x-4-1 = -4x-5
Step 3: Place the constant back in front of the derivative of the function from Step 2:
-7[-4x-5]
Step 4: Use algebra to multiply through:
-7[-4x-5] = 28x-5 = 28/x5
That’s it!
References & Tools
Images created partly with the Symbolab graphing calculator.
Larson, R. & Edwards, B. (2008). Calculus of a Single Variable. Cengage Learning.
Migliore, E. (2005). Review of Basic Algebra Concepts.
Simonds, S. Jordan, A. (2020). 5.4The Constant Factor Rule. Calculus Lab Manual MTH 251 at Portland Community College. Retrieved July 27, 2020 from: http://spot.pcc.edu/math/clm/section-constant-factor-rule.html
Stephanie Glen. "Derivative of a Constant: Examples with Video" From CalculusHowTo.com: Calculus for the rest of us! /derivative-of-a-constant/
Need help with a homework or test question? With Chegg Study, you can get step-by-step solutions to your questions from an expert in the field. Your first 30 minutes with a Chegg tutor is free!

